Berita Industri

Penyelesaian Berasaskan Siklodekstrin untuk Keterlarutan dan Peningkatan Kestabilan

2025-12-23 - Tinggalkan saya mesej

Penyelesaian Berasaskan Siklodekstrin untuk Keterlarutan dan Peningkatan Kestabilan

Gambaran Keseluruhan Teknikal Hydroxypropyl Betadex dan Betadex Sulfobutyl Ether Sodium

Siklodekstrin diiktiraf secara meluas kerana keupayaannya untuk meningkatkan keterlarutan dan kestabilan sebatian yang kurang larut atau sensitif terhadap bahan kimia. Disebabkan oleh struktur molekul kitaran yang unik, siklodekstrin dan terbitannya telah menjadi eksipien berfungsi penting merentasi bidang farmaseutikal, kimia dan perumusan yang berkaitan. Sebagai tindak balas kepada peningkatan keperluan teknikal dan kawal selia, Xi'an Deli Biochemical telah memperhalusi lagi dokumentasi teknikal dan sokongan produk untuk derivatif siklodekstrin utamanya:hydroxypropyl betadex (HPBCD) dan betadex sulfobutyl ether sodium (SBECD).


Ciri-ciri Struktur dan Prestasi Fungsian Siklodekstrin

Siklodekstrin ialah oligosakarida kitaran yang terdiri daripada unit glukosa yang dihubungkan oleh ikatan glikosidik α-1,4. Seni bina molekul mereka mempunyai permukaan luar hidrofilik dan rongga dalaman yang agak hidrofobik, membolehkan pembentukan kompleks kemasukan dengan pelbagai molekul tetamu. Pengubahsuaian kimia struktur siklodekstrin boleh meningkatkan keterlarutan akueus dengan ketara dan meluaskan kepelbagaian aplikasi.


Hydroxypropyl Betadex (HPBCD)


Hydroxypropyl betadex ialah β-siklodekstrin diubah suai secara kimia yang direka untuk mengatasi keterlarutan terhad siklodekstrin asli. Keterlarutan airnya yang dipertingkatkan dan keserasian yang menggalakkan menjadikan HPBCD sesuai untuk aplikasi yang memerlukan fleksibiliti pelarutan, penstabilan dan formulasi yang berkesan merentas pelbagai sistem.


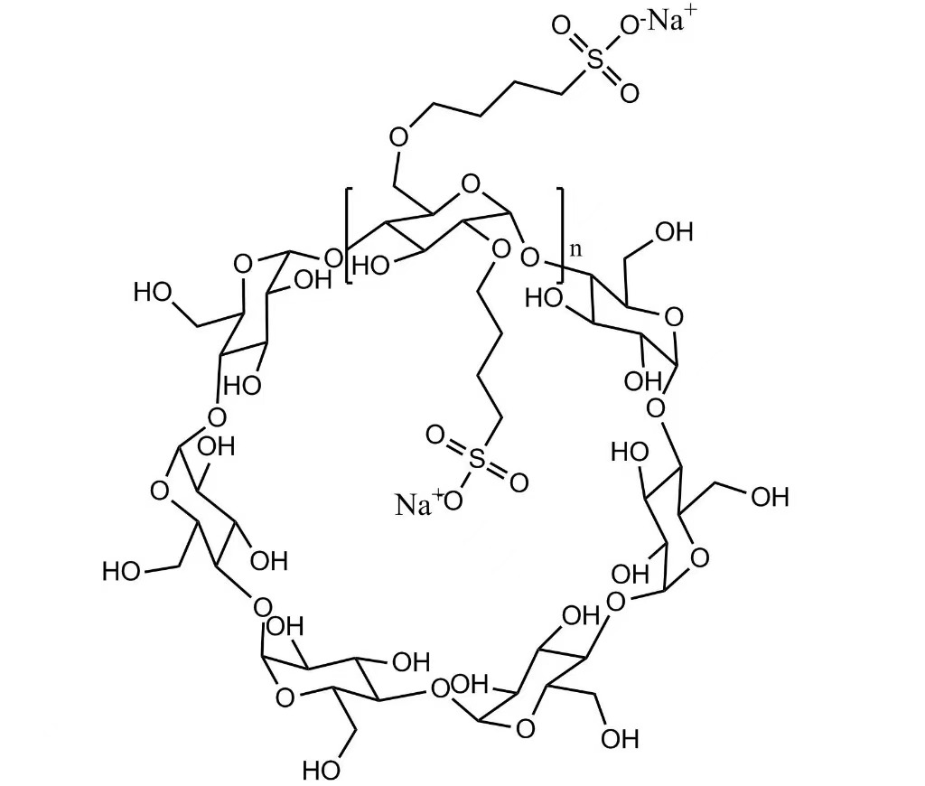
Betadex Sulfobutyl Ether Sodium (SBECD)


Betadex sulfobutyl ether sodium ialah terbitan siklodekstrin anionik yang dicirikan oleh substituen sulfobutil eter. Struktur ini meningkatkan interaksi elektrostatik dengan sebatian tertentu, menyokong keterlarutan yang lebih baik, kestabilan kompleks, dan keteguhan formulasi dalam aplikasi yang lebih menuntut.

Maklumat Produk Standard dan Sokongan Teknikal

Untuk menyokong pembangunan formulasi, penilaian kualiti dan proses perolehan dengan lebih baik, Xi'an Deli Biochemical telah mengemas kini maklumat produk secara sistematik untuk HPBCD dan SBECD, termasuk:


  • Spesifikasi produk dan parameter analisis yang ditakrifkan dan diseragamkan dengan jelas
  • Sijil Analisis (COA) khusus kelompok untuk memastikan kebolehkesanan dan pengesahan kualiti
  • Soalan Lazim teknikal yang diperluaskan yang menangani pengendalian, penyimpanan dan pertimbangan aplikasi biasa
  • Ringkasan produk yang dioptimumkan direka untuk memudahkan semakan dan pemilihan teknikal yang cekap


Penambahbaikan ini bertujuan untuk meningkatkan ketelusan, mengurangkan garis masa penilaian dan menyokong prestasi produk yang konsisten sepanjang kitaran bekalan.


Pengalaman Pembuatan dan Jaminan Kualiti

Ditubuhkan pada tahun 1999, Xi'an Deli Biochemical membawa pengalaman selama 26 tahun dalam pembuatan derivatif siklodekstrin. Syarikat itu memberi tumpuan kepada pengeluaran terkawal hidroksipropil betadex dan betadex sulfobutyl eter sodium, menekankan ketekalan proses, kebolehpercayaan kelompok-ke-kelompok, dan kestabilan bekalan jangka panjang. Amalan pengurusan kualiti berstruktur menyokong keperluan teknikal, kawal selia dan sumber pelanggan.


Skop Permohonan dan Kerjasama Teknikal

Berdasarkan mekanisme kemasukan dan penstabilan siklodekstrin, HPBCD dan SBECD boleh digunakan dalam pelbagai bidang teknikal, termasuk formulasi berkaitan farmaseutikal, bahan kimia khusus, produk veterinar dan sistem lain yang memerlukan keterlarutan dan kestabilan yang dipertingkatkan. Xi'an Deli Biochemical terus terlibat dengan rakan kongsi melalui komunikasi tertumpu aplikasi dan kerjasama teknikal untuk menyokong keperluan perumusan yang berkembang.


Mengenai Syarikat Industri Biokimia Xi'an Deli

Ditubuhkan pada tahun 1999, Syarikat Industri Biokimia Xi'an Deli ialah pengeluar khusus terbitan siklodekstrin, membekalkan hydroxypropyl betadex (HPBCD) dan betadex sulfobutyl ether sodium (SBECD) kepada pelanggan global. Dengan tumpuan yang lama terhadap ketekalan produk, spesifikasi yang jelas dan sokongan teknikal yang praktikal, syarikat itu kekal komited untuk menyediakan penyelesaian berasaskan siklodekstrin yang boleh dipercayai.


Jika anda mahu, saya juga boleh:


  • Optimumkan lagi ini untuk SEO Google (tanpa mengurangkan nada teknikal)
  • Padatkannya menjadi versi "Kemas Kini Teknikal" halaman produk
  • Sesuaikan ia untuk pelanggan kawal selia / fokus kualiti


Cuma beritahu saya di mana anda bercadang untuk menerbitkannya.


Hantar Pertanyaan


icon
X
Kami menggunakan kuki untuk menawarkan anda pengalaman menyemak imbas yang lebih baik, menganalisis trafik tapak dan memperibadikan kandungan. Dengan menggunakan tapak ini, anda bersetuju dengan penggunaan kuki kami. Dasar Privasi
Tolak Terima